काठमाडौं । अमेरिका सरकारले वैधानिक कागजात नभई बसेका ३५ नेपालीलाई डिपोर्ट गरि स्वदेश पठाएको छ। आइतबार काठमाडौंमा अवतरण गरेका ती यात्रुहरूमध्ये अधिकांश अवैध बाटो (तल्लो मार्ग) हुँदै अमेरिका पुगेका रहेको प्रहरीले जनाएको छ।
मानव बेचबिखन अनुसन्धान ब्यूरोका एसएसपी कृष्ण पंगेनीका अनुसार, डिपोर्टेडमध्ये एक जना विद्यार्थी भिसामा गएर कलेज नविकरण नगरी भिसा विपरीत काम गरी बसेको पुष्टि भएको छ। सोही कारण उनलाई पक्राउ गरी नेपाल पठाइएको हो। त्यस्तै एक जना पर्यटक (भिजिट) भिसामा गएर अवैध रूपमा काम सुरू गरेपछि अमेरिकी प्रहरीले पक्राउ गरी डिपोर्ट गरेको पंगेनीले जानकारी दिए।
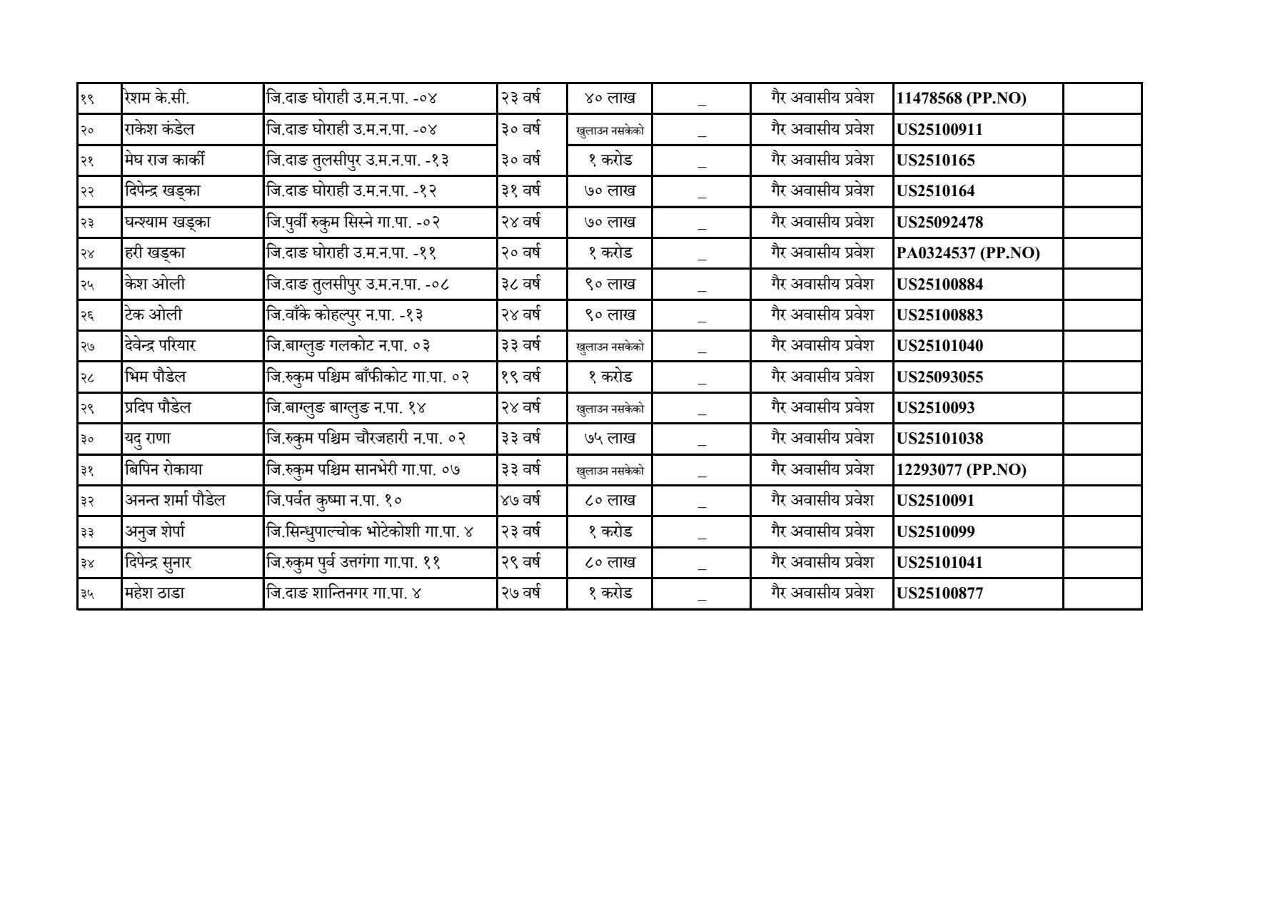
ब्यूरोले अनुसन्धान गर्दा उनीहरूले अवैध रूपमा अमेरिका प्रवेश गर्न ८० लाख रुपैयाँसम्म तिरेको खुल्न आएको पंगेनीले बताए। अमेरिका पुगे पनि कागजात नमिलाएर बसेकाहरूलाई २ वर्षसम्मको निगरानीपछि फिर्ता पठाएको अमेरिकी अधिकारीको भनाइ छ। डिपोर्टेडमध्ये धेरै रुकुम र दाङका भएको जानकारी प्रहरीले दिएको छ। तर, उनीहरू दलालविरुद्ध जाहेरी दिन तयार नभएको पंगेनीको भनाइ छ।
डोनाल्ड ट्रम्पले अमेरिकी राष्ट्रपतिको जिम्मेवारी सम्हाल्दै अवैध आप्रवासनविरुद्ध कडा नीति लागू गरेको थियो। त्यसपछि अवैध रूपमा अमेरिका रहेका आप्रवासीलाई फिर्ता गर्ने अभियान तीव्र रूपमा अघि बढाइएको छ। नेपालका लागि यो अभियानले गम्भीर परिणाम ल्याइरहेको छ। तथ्यांक अनुसार, ट्रम्पको कार्यकाल शुरू भएयता २ सयभन्दा बढी नेपाली अमेरिका सरकारले डिपोर्ट गरिसकेको छ।
विदेश जाने सोच बनाउँदा केवल सपना हेर्नु पर्याप्त हुँदैन, कानुनी बाटो समात्नुपर्छ। रोजगारी होस् वा अध्ययन, शंकास्पद व्यक्ति, दलाल र अवैध मार्गमा भर परेमा फाइदा होइन, विपत्ति निम्तिन सक्छ। त्यसैले सबै कागजातहरू स्पष्ट, प्रमाणित र वैधानिक प्रक्रियाबाट पूरा गर्नु मात्रै सुरक्षित विकल्प मानिन्छ।














प्रतिक्रिया